Разное
В Москве завершилось заседание Генсовета ФНПР.С ключевым докладом выступил председатель ФНПР Сергей Черногаев. Среди главных задач профсоюзов он назвал:Бороться за повышение МРОТ до уровня минимального потребительского бюджета (около...
Женское движение «Единая Россия» Тюменской области передало порядка 70 различных подарков, включая машинки, куклы, настольные игры и книги. Эта поддержка направлена на создание приятной и развивающей атмосферы для детей, помогая им не только...
Социальный фонд России ввел в обращение электронное свидетельство пенсионера. Новое электронное удостоверение с QR-кодом стало полноценной альтернативой привычному пластиковому документу и доступно в личном кабинете на портале госуслуг.Главное...
Но Зеленскому плевать.Украинская власть цинично замалчивает количество убитых и пропавших без вести.ПОДПИСАТЬСЯ Наш чатНаш Дзен ...
В праздновании приняли участие Глава муниципального округа муниципальное образование Славяносербский муниципальный округ Сергей Крамаренко, Председатель Совета муниципального округа муниципальное образование Славяносербский муниципальный округ...
Республика лидирует среди регионов России по доле женщин в бизнесе Женщины ЛНР – двигатель экономики республики! Они доказывают, что бизнес может быть успешным, социально ориентированным и очень женственным.Наша республика – лидер по...
Ноябрь ознаменовался яркими и значимыми турнирами по художественной гимнастике, в которых с успехом выступают представительницы Краснодонщины.Воспитанница тренера-преподавателя Ирины Бенько Анастасия Воинова отлично выступила...
Специалисты Ровеньковского филиала НКО выполняют работы по текущему ремонту ступеней многоквартирных домов.Со временем даже самые крепкие и надежные конструкции изнашиваются и требуют ремонта.Почему выполнить ремонт...
Уважаемые страхователи!Отдел персонифицированного учета и администрирования страховых взносов № 2 Отделение СФР по Луганской Народной Республике (Новопсковского м.о.) сообщает, что 28 ноября (пятница) в 09.00 состоится семинар на тему: «Разъяснения по...
В Центре досуга (ЦД) «Победа» Совет женщин организовал лекцию для представительниц прекрасного пола, где обсудили условия сохранения здоровья и профилактики заболеваний позвоночника и суставов. Спикером выступила врач-гинеколог, врач общей...
Талантливые учащиеся художественного отделения Артемовской ДШИ с энтузиазмом погрузились в мир фантазии и творчества, приняв участие в первом открытом конкурсе "Я волшебник". Организатором этого вдохновляющего события стала Алчевская художественная...
улицы Достоевского, Толстого, 2-поселение, Калинина, пер. Кольцевой, Каменка, Ермака, Ленина, Свердлова...
В рамках сотрудничества с Омским педагогическим колледжем №1 студенты Стахановского колледжа филиал ЛГПУ приняли участие в региональной онлайн-олимпиаде «Инклюзивное мышление в профессии» среди обучающихся профессиональных образовательных учреждений...
С целью профилактики вредных привычек и повышения осведомленности о рисках для здоровья, в Луганском учебно-воспитательном комплексе имени лётчика-космонавта Г. Т. Берегового состоялась важная встреча.Сергей Комаров, главный внештатный...
В течение года в городском округе Первомайск свою работу ведет уже одиннадцатая команда медиков, прибывшая из Калужской области.- За три недели ноября медики оказали помощь 2 650 пациентам: 1 915 получили плановое лечение, 735 — неотложную и...
Для демонстрации применялся минимальный заряд, однако в настоящих ситуациях опасность может быть гораздо серьёзнее.Предупредите близких и соблюдайте осторожность.
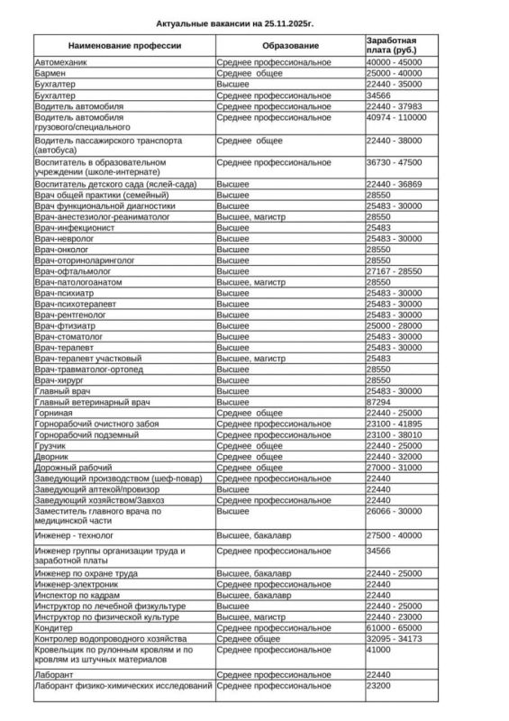
Актуальные вакансииЦентр занятости информирует:За более подробной информацией обращаться в ТО ГКУ «РЦЗН ЛНР» в г. Свердловске и Свердловском районе, по адресу: ЛНР, м.о. Свердловский, г. Свердловск, ул. Жилова, д. 5.Мы теперь в MAX!
Гастроэзофагеальная рефлюксная болезнь(ГЭРБ) - весьма распространенное заболевание. По словам Натальи Николаевны Кувичко - главного внештатногоспециалиста-гастроэнтеролога Минздрава ЛНР, от него страдает от 20 до 40 % взрослого населения, причем в...
В честь Дня государственного флага Луганской Народной Республики в Меловской спортивной школе состоялся открытый турнир по футзалу среди школьников 2014 года рождения и моложе.Соревнования прошли в рамках партийного проекта...
ЛотиковоВ пгт. Лотиково состоялся плановый выезд передвижного флюорографического комплекса «Флюмамм» Славяносербской центральной районной больницы.Этот важный визит позволил жителям получить необходимую диагностику и консультации специалистов.В рамках...



















